Описание
Программный продукт «1С-Рейтинг: Общепит для Казахстана» предназначен для автоматизации бухгалтерского, налогового и оперативного учета на предприятиях общественного питания различного масштаба: ресторанах, барах, кафе, столовых, производственных цехах и кондитерских, развлекательных и гостиничных комплексах и т. д.
«1С-Рейтинг: Общепит для Казахстана» разработан на основе типового решения «Бухгалтерия для Казахстана» системы программ «1С:Предприяте 8» с сохранением всех возможностей типового программного продукта.
Программный продукт позволяет использовать «прямую» и «обратную» схемы документооборота (выпуск-реализация или реализация-выпуск), связанного с производством и реализацией продуктов питания. Автоматизировано оформление поступления выручки от розничной реализации продуктов питания в торговых точках с использованием различных способов оплаты (наличными, талонами, клубными картами и т. д.) и предоставлением скидок по дисконтным картам.
Основные функциональные возможности прикладного решения «1С-Рейтинг: Общепит для Казахстана»:
- Ведение списков рецептур различного вида (приготовление, разделка, разукомлектация):
- Поддержка использования схемы «блюдо в блюде» с неограниченным количеством уровней вложенности;
- Автоматическое формирование калькуляционных карточек и технологических карт на основании введенных рецептур.
- Возможность загрузки списка рецептур из электронного справочника;
- Гибкие схемы списания продуктов, используемых на приготовление блюд согласно рецептурам приготовления:
- Использование списков взаимозаменяемых продуктов (аналогов);
- Инструменты для анализа наличия на складах необходимых ингредиентов и оформления операций перемещения продуктов на склад кухни;
- Механизм списания специй с минимальной погрешностью вычислений.
- Механизмы формирования цен поступления, себестоимости выпускаемой продукции и отпускных цен;
- Оформление производственных операций разделки/разукомплектации;
- Учет калорийности и энергетической ценности продуктов;
- Учет сезонных потерь при холодной обработке;
- Учет запасов в различных единицах измерения, гибкая настройка правил пересчета между единицами измерения;
- Работа с торговым оборудованием: сканеры штрих кодов, терминалы сбора данных и ККМ Offline;
- Отражение в учете результатов розничной торговли и обмен с фронт-офисными системами:
- «1С-Рейтинг: Ресторан»;
- «1С: Ресторан»;
- «1С-Рарус: Ресторан + Бар + Кафе»;
- «R-Keeper v6, v7»
Перейти к подробному описанию возможностей этого продукта
Интеграция с другими программами
Программа «1С-Рейтинг: Общепит для Казахстана» предусматривает возможность интеграции со следующими программами:
- 1С-Рейтинг: Ресторан
- 1С: Ресторан
- 1С-Рарус: Ресторан + Бар + Кафе
- R-Keeper v6, v7
- Зарплата и Управление персоналом для Казахстана
- Управление торговлей для Казахстана
- Розница для Казахстана
- Управление нашей фирмой для Казахстана
- ERP. Управление предприятием для Казахстана
Двусторонние обмены данными с указанными программными продуктами позволяют создать программные комплексы, покрывающие потребности предприятий различного масштаба. Интеграция используется для исключения лишней работы повторного ввода одних и тех же сведений в разные программы.
Версии программы
Программа «1С-Рейтинг: Общепит для Казахстана» выпускается в следующих версиях:
- ПРОФ
- Базовая
Базовая версия имеет ряд ограничений по сравнению с функциональными возможностями ПРОФ версии.
Перейти к сравнению версий этого продукта
Стоимость
Данный продукт имеет несколько вариантов поставки. Вы можете выбрать наиболее подходящий для Вас.
Перейти к списку вариантов поставки этого продукта
Лицензирование
Для масштабирования и расширения количества рабочих мест Вы можете приобрести дополнительные лицензии.
Перейти к списку лицензий для этого продукта
Основные функциональные возможности
Программный продукт «1С-Рейтинг: Общепит для Казахстана» разработан на основе типового решения «Бухгалтерия для Казахстана» с сохранением всех возможностей типового программного продукта. С возможностями типового решения «1С:«Бухгалтерия для Казахстана» можно ознакомиться на соответствующей странице.
Сведения о продуктах питания
Списки блюд, полуфабрикатов и продуктов питания, используемых для приготовления, заносятся в справочник «Номенклатура». При работе с конфигурацией необходимо указать данные номенклатуры, которые необходимы для работы подсистемы «Общепит».

Единицы измерения - на этой закладке добавляют единицы измерения, которые будут использоваться для данной номенклатуры, а также коэффициенты для пересчета между единицами измерения.

Это необходимо для того, чтобы можно было рецептуры вести в единицах измерения, отличных от базовой единицы измерения учета номенклатуры. Например, когда учет запасов помидоров мы ведем в килограммах, а в рецептуре мы указываем граммы.
Пересчет единиц измерения можно устанавливать для каждой номенклатуры в отдельности или для всей номенклатуры.
Для тех случаев, когда во время приготовления блюда нехватку одного продукта компенсируют за счет использования аналогичного продукта, ведется список взаимозаменяемых продуктов (аналогов).

Подстановка замен ингредиентов может выполняться как в автоматическом режиме, так и вручную. Для выполнения замен будут доступны только значения, указанные в списке аналогов заменяемого ингредиента.

На закладке «Потери при обработке» можно указать потери веса продукта при холодной и горячей обработке во время приготовления блюда. Эти данные используются для автоматического расчета веса нетто и выхода продукта при заполнении рецептур приготовления.

Для некоторых овощей, таких как картофель, морковь, свекла, процент потерь при холодной обработке меняется в зависимости от сезона. Для автоматического пересчета процентов сезонных потерь предусмотрен специальный механизм «Пересчет веса по потерям при холодной обработке».

На закладке «Штрих коды» редактируется список штрих кодов номенклатуры. Указанные штрих коды используются при выгрузке сведений о штрих кодах товаров в ККМ. Там же можно указать штрих код, который будет использоваться при обмене с помощью DBF файлов.

Для каждой номенклатурной позиции (блюдо, ингредиент) можно задать показатели пищевой ценности. Это может быть информация о калорийности блюда, о химической ценности, о витаминах или любые другие числовые показатели, которые определяют пищевую ценность продукта. Показатели пищевой ценности заполняются для вывода их в печатные формы.

Ведение списка рецептур
Ведение списка рецептур в конфигурации «1С-Рейтинг: Общепит для Казахстана» производится в справочнике «Спецификации номенклатуры».
Для удобного просмотра и редактирования рецептур используется специальная форма.

Форма разделена на три части:
- слева выводится список номенклатуры;
- справа вверху отображается список рецептур той номенклатуры, которая выбрана слева;
- ниже списка рецептур отображается состав выбранной рецептуры.
В конфигурации выделяется три вида производственных операций подсистемы «Общепит»:
- Приготовление блюд;
- Разделка продуктов на части;
- Разукомплектация блюд по ингредиентам.
Для каждой операции предусмотрен отдельный вид рецептуры.
Конфигурация «1С-Рейтинг: Общепит для Казахстана» позволяет вести учет рецептур по организациям, т.е. для каждой организации или структурной единицы можно создавать свои рецептуры. Для этого необходимо произвести соответствующую настройку в «Настойках параметров учета (общепит)».
Рецептура приготовления
При заполнении рецептуры приготовления количество ингредиента, которое будет израсходовано на приготовление блюда, можно указывать в любой единице измерения.
Автоматически выполняется расчет веса брутто, веса нетто и выхода ингредиента в готовом блюде.

где Колинг - это количество ингредиента,
а КВеса - коэффициент пересчета на вес.

При необходимости, рецептуры можно заполнять в обратном порядке: указать выход ингредиента, и по нему рассчитать вес нетто, вес брутто и количество в заданной единице измерения.

Для использования вложенных блюд и полуфабрикатов, в табличной части «Ингредиенты» заполняется колонка «Спецификация вложенная». В ней указывается рецептура приготовления вложенного блюда или полуфабриката. Количество уровней вложенности рецептур не ограничено.
В отдельной табличной части указываются специи. Для учета специй предусмотрен специальный механизм.
По данным рецептуры можно сформировать печатную форму «Технологическая карта».

В печатной форме выводятся все ингредиенты, необходимые на приготовление блюда, в том числе ингредиенты, используемые на приготовление вложенных блюд и полуфабрикатов.
В конфигурации предусмотрен отчет «Калькуляционная карточка», который позволяет рассчитать стоимость продуктов, необходимых на приготовление блюда и среднюю стоимость одной порции продукции.

Каждая составная часть представляет собой долю от исходной номенклатуры. Характерной особенностью этой операции является то, что количество получаемых ингредиентов задается в процентах от количества исходной номенклатуры, а цена ингредиентов задается в зависимости от доли стоимости. Поэтому при заполнении рецептуры разделки происходит автоматический расчет количества и цены получаемых ингредиентов, в соответствии с заданными параметрами.
Рецептура разукомплектации
Операция разукомплектации может применяться для разборки блюд, ингредиенты которых не подвергались обработке, и блюда могут быть разделены на составляющие.

При заполнении рецептуры разукомплектации указывается исходная номенклатура, ее количество и единица измерения номенклатуры, а в табличной части вводится список ингредиентов, получаемых в результате разукомплектации, а также их количество, единицы измерения и доля стоимости.
Доля стоимости - числовое выражение цены комплектующего по отношению к другим комплектующим номенклатуры. В реквизите «Доля стоимости» может быть указана цена, процент стоимости комплектующего или любой другой числовой показатель, выражающий стоимость комплектующего относительно других комплектующих (для всех комплектующих номенклатуры доля стоимости должна быть заполнена по одному и тому же принципу).
Механизмы ценообразования
Прикладное решение «1С-Рейтинг: Общепит для Казахстана» предоставляет возможность формирования, назначения и оперативного изменения различных типов цен при помощи следующих механизмов:
- установка цен документом «Поступление ТМЗ и услуг»;
- обработка «Установка цен поступления»;
- обработка «Установка себестоимости блюд»;
- обработка «Установка отпускных цен».
Установка цен документом «Поступление ТМЗ и услуг»
Для того, чтобы при каждом проведении документа «Поступлении ТМЗ и услуг» устанавливались приходные цены товаров, необходимо произвести настройку в «Настройке параметров учета (общепит).

В результате выполнения этой настройки, при проведении документа «Поступление ТМЗ и услуг», в регистре сведений «Цены номенклатуры», для товаров будет автоматически устанавливаться цена с типом «Приходная».
Обработка «Установка цен поступления»
Данная обработка позволяет получить максимальные и средние цены поступления номенклатуры по документам «Поступление ТМЗ и услуг» и «ПИТ: Разделка» с видом «Разделка» за указанный период времени и установить их с помощью документа «Установка цен номенклатуры». Например, с помощью этой обработки можно проанализировать и установить цены поступления ингредиентов за определенный период, что в дальнейшем позволит более точно определить себестоимость блюд.

Обработка «Установка себестоимости блюд»
Данная обработка позволяет посчитать калькуляцию и установить себестоимость блюд.
Калькуляция может быть рассчитана как по средневзвешенной стоимости, так и по ценам номенклатуры. Калькуляцию можно развернуть по ингредиентам.

В обработке присутствует печатная форма «Анализ себестоимости блюд», которая позволяет увидеть разницу между рассчитанной и текущей себестоимостью блюд, и при необходимости принять решение об изменении отпускных цен.

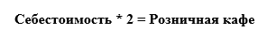
Обработка «Установка отпускных цен»
Данная обработка позволяет рассчитать отпускные цены относительно других цен (закупочных, себестоимости и т.д.) и установить их. Одновременно можно рассчитать несколько типов отпускных цен. К отпускным ценам при этом применяется свой коэффициент наценки.
Расчет происходит следующим образом:


где, коэффициент наценки «2» = 100% наценке.
При нажатии кнопки «Пересчитать» происходит пересчет вычисляемых цен, с учетом коэффициента наценки и метода округления. После пересчета измененные цены будут выделены зеленым цветом. В обработке можно менять цены вручную.

Для вывода на печать установленных цен предназначен отчет «Отчет по ценам». Данный отчет предназначен для отображения действующих цен номенклатуры в разрезе типов цен на указанную дату.

Для того чтобы посмотреть, какая наценка применяется для каждого блюда в отдельности, в конфигурации доступен отчет «Калькуляционная карточка». Этот отчет позволяет получить калькуляцию указанного блюда по одному из двух способов заполнения цен:
- По средневзвешенной стоимости;
- По ценам номенклатуры.
Калькуляция выводится на то количество блюда, которое указано в рецептуре и на одну порцию. В том случае, если заполнен реквизит «Тип цен продаж», в печатной форме отображается выбранная отпускная цена, а также рассчитывается сумма и процент наценки.

Автоматизация документооборота
Обычно документооборот, связанный с производством блюд на предприятиях общественного питания, может строиться по следующим основным схемам:
- Прямая схема - это когда сначала осуществляется планирование меню, выпуск блюд, а потом оформляется их реализация;
- Обратная схема – применяется в том случае, когда запланировать объем выпуска блюд невозможно, и они готовятся по мере поступления заявок. Выпуск блюд и списание ингредиентов регистрируются по результатам данных о реализации.


Конфигурация «1С-Рейтинг: Общепит для Казахстана» позволяет вести документооборот по обеим схемам. Для этого в конфигурации используются средства ввода документов на основании.
Прямая схема
Реализацию документооборота, построенного по прямой схеме, рассмотрим на примере обычной столовой. В этом случае на предприятии могут оформляться следующие операции:
- Формирование плана-меню;
- Формирование требования на получение сырья из кладовой;
- Перемещение необходимых продуктов на склад кухни;
- Списание продуктов питания в производство;
- Поступление готовой продукции из производства;
- Реализация готовой продукции потребителям;
- Поступление денежных средств.
Планирование выпуска продукции
Для отражения производства блюд используется документ «Выпуск продукции». На этапе планирования документ необходимо записывать без проведения. В нем заполняется список блюд, намеченных к приготовлению, их количество и рецептуры приготовления.

Для управления режимом списания ингредиентов, в зависимости от наличия остатков продуктов на месте приготовления, заполняются два реквизита:
- Использование аналогов – режим подстановки взаимозаменяемых продуктов (можно установить автоматическую замену в зависимости от наличия остатков сырья, управлять заменой вручную или отключить использование взаимозаменяемых продуктов);
- Использование полуфабрикатов – режим приготовления вложенных блюд и полуфабрикатов (также можно использовать автоматическую установку полуфабрикатов к приготовлению, ручное управление приготовлением или брать полуфабрикаты со склада, и отключить их приготовление).
Формирование требования в кладовую
По заданному списку блюд, намеченных к приготовлению, автоматически формируется список необходимых ингредиентов.

В списке ингредиентов выводится количество ингредиентов по норме (согласно рецептурам) и по факту (фактическое списание ингредиентов). Величину фактического списания можно скорректировать вручную или заполнить автоматически в соответствии с наличием продуктов на складе места приготовления. Те строки, в которых факт отличается от нормы, выделяются красным цветом.
Сведения о наличии недостающих ингредиентов на складах организации можно вывести в печатную форму «Анализ наличия ингредиентов на складах».

Когда фактический расход ингредиентов настроен, можно вывести данные о необходимых продуктах в разрезе блюд. Печатная форма «Расход продуктов» показывает, какие продукты нужно затребовать для приготовления указанного перечня блюд с учетом приготовления полуфабрикатов и замены продуктов аналогами.

Кроме этого, можно вывести на печать меню с выходом готовых блюд и ценами.

Перемещение продуктов на склад кухни
Для того чтобы оформить перемещение необходимых продуктов на кухню, можно открыть обработку «Перемещение ингредиентов».

В этой обработке показываются данные о наличии остатков, доступных к перемещению на склад кухни. Перемещение продуктов можно настроить вручную или автоматически (по нехватке или по норме). По данным настройки порядка перемещения продуктов на склад кухни будут сформированы документы «Перемещение ТМЗ».
Списание продуктов в производство и поступление готовой продукции
Для оформления списания ингредиентов и прихода готовой продукции не требуется использование отдельных документов. При проведении документа «Выпуск продукции» будет выполнено списание ингредиентов с учетом подстановки взаимозаменяемых продуктов и готовки полуфабрикатов, а также оприходование готовой продукции. Оприходование полуфабрикатов и вложенных блюд не осуществляется.
На основании документа выпуска продукции можно заполнить перемещение готовой продукции на склад реализации.
Реализация готовой продукции
Документы реализации могут быть заполнены на основании документа выпуска продукции. Для оформления оптовой реализации используется документ «Реализация ТМЗ и услуг», а для отражения розничной реализации – документ «Отчет о розничных продажах».

Документ «Отчет о розничных продажах» фиксирует в информационной базе:
- отгрузку товаров;
- получение оплаты от покупателей различными способами (наличными, по талонам, по клубным картам, по дисконтным картам и т.п.);
- поступление выручки от реализации в кассу;
- регистрация налогов НДС и Акциз.
Документ «Отчет о розничных продажах» может быть заполнен по данным инвентаризации готовой продукции на складе.
Поступление денежных средств
Поступление денежных средств оформляется типовыми средствами – с помощью документов «Платежное поручение входящее» или «Приходный кассовый ордер».
Документ «Приходный кассовый ордер» может быть заполнен на основании документа «Отчет о розничных продажах». Вид операции документа устанавливается в значение «Прочий приход денежных средств».
Обратная схема
Схема документооборота «реализация – выпуск» (обратная схема) применяется при потоковом выпуске продукции, когда блюда готовятся по мере поступления заказов. Отражение производства блюд при этом оформляется в конце смены по результатам розничной торговли. Рассмотрим, каким образом можно с помощью конфигурации «1С-Рейтинг: Общепит» автоматизировать документооборот, построенный по этой схеме. Последовательность регистрации операций может быть следующей:
- Ввод результатов розничной реализации блюд за смену;
- Заполнение списка выпущенной продукции;
- Составление списка затраченных на приготовление ингредиентов:
- Поступление и перемещение продуктов питания;
- Списание израсходованных продуктов.
- Отражение в системе оприходования и отгрузки готовой продукции.
Ввод результатов розничной реализации
Для отражения результатов розничных продаж в бухгалтерском, налоговом и оперативном учете используется документ «Отчет о розничных продажах». Документ можно заполнить по данным фронт-офисных систем:
- «1С-Рейтинг: Ресторан»;
- «1С: Ресторан»;
- «1С-Рарус: Ресторан + Бар + Кафе»;
- «R-Keeper v6, v7»;
Поскольку документ «Отчет о розничных продажах» регистрирует отгрузку готовой продукции, на данном этапе выполнять проведение документа нельзя: продукция, отгрузка которой регистрируется, еще не оприходована.
Заполнение списка выпущенной продукции
На основании документа «Отчет о розничных продажах» может быть заполнен документ «Выпуск продукции». При этом в него попадут только блюда, для которых заполнены рецептуры приготовления.
При работе с документом «Выпуск продукции» могут использоваться те же возможности, которые применяются при ведении документооборота при планировании выпуска продукции.
Составление списка затраченных ингредиентов
По данным списка приготовленных блюд и их рецептур в документе «Выпуск продукции» автоматически формируется список ингредиентов, затраченных на приготовление.
Необходимо скорректировать данные о списании затраченных ингредиентов: проанализировать учетное количество ингредиентов на складе кухни и в случае обнаружения нехватки выяснить, каким образом проблема нехватки продуктов была решена. При необходимости можно ввести данные о поступлении и перемещении продуктов на склад кухни.
Поскольку при работе по схеме «реализация – выпуск» списание осуществляется задним числом, то точность такого списания сложно проконтролировать. В связи с этим необходимо чаще проводить инвентаризацию остатков в местах приготовления блюд.
Отражение оприходования и отгрузки готовой продукции
При проведении документа «Выпуск продукции» будет выполнено списание израсходованных ингредиентов, а также оприходование готовой продукции.
После последовательного восстановления операций, связанных с реализацией готовой продукции, необходимо выполнить проведение документов. В первую очередь выполняется проведение документа «Выпуск продукции» – происходит списание сырья и оприходование готовой продукции. Затем можно провести документ «Отчет о розничных продажах» – будет списана проданная потребителям продукция.
Учет специй
Для списания таких ингредиентов блюд, как специи, реализован специальный механизм. Этот механизм целесообразно использовать в том случае, когда в пределах одного выпуска продукции расход специи так мал, что нет смысла отражать этот расход в информационной базе, потому что такое списание может привести к накоплению погрешности.
Механизм списания специй устроен следующем образом:

Продукты, которые должны списываться как специи, вводятся в табличную часть «Специи» рецептуры приготовления.
Для того, чтобы увеличить точность, замер расхода ингредиента делается на такое количество блюда, при котором величина расхода будет существенна. В таком виде данные заносятся в рецептуру.

При проведении документа «Выпуск продукции», специи не списываются вместе с другими ингредиентами. В информационной базе делается запись в специальном регистре, в котором накапливаются данные о списании специй.

Когда количество выпущенных блюд за период достигает достаточной величины, можно списать специи, израсходованные на выпуск продукции с минимальной погрешностью. Для этого используется документ «Списание специй».

Этот документ заполняется по накопленным данным о выпуске продукции. При необходимости можно скорректировать величину фактического расхода специи.
При проведении документа со склада будут списаны указанные специи, а данные о накоплении специй к списанию будут обнулены.
Документ «Списание специй» используется периодически. Периодичность определяется пользователем самостоятельно, в зависимости от того как быстро накапливаются данные для списания.
Разделка и разукомлектация
В конфигурации «1С-Рейтинг: Общепит для Казахстана» предусмотрена возможность регистрации в системе операций разделки и разукомплектации. Для этого используется документ «Разделка».

Вид операции документа определяется по виду рецептуры, указанной в шапке документа. Документ «Разделка» регистрирует операции разделки или разукомплектации в бухгалтерском учете с отражением их на счетах производственного учета.
Разделка предполагает разделение некоторой цельной номенклатуры на части. Например, разделка мясной туши. Каждая составная часть представляет собой долю от исходной номенклатуры. Характерной особенностью этой операции является то, что количество получаемых ингредиентов задается в процентах от количества исходной номенклатуры. Для оформления операции разделки предусмотрен специальный вид рецептуры «Разделка».
Операция разукомплектации может применяться для разборки блюд, ингредиенты которых не подвергались обработке, и блюда могут быть разделены на составляющие.

Розничные продажи, подключение торгового оборудования, обмен с фронт-офисными системами
Реализация товаров в розницу обычно характеризуется высокой степенью оперативности и большим количеством операций, что накладывает специфические требования на используемое программное обеспечение. Системы, автоматизирующие процессы взаимодействия с клиентами (в том числе продаж товаров) относят к так называемым фронт-офисным системам. Программный продукт «1С-Рейтинг: Общепит для Казахстана» предназначен для автоматизации бэк-офиса. Конфигурация не включает средства для оперативной регистрации продаж, однако предусмотрены средства для отражения результатов розничной торговли.
Для отражения результатов розничных продаж за смену в бухгалтерском, налоговом и оперативном учете используется документ «Отчет о розничных продажах», который фиксирует:
- отгрузку товаров;
- получение оплаты от покупателей различными способами (наличными, по талонам, по клубным картам, по дисконтным картам и т.п.);
- поступление выручки от реализации в кассу;
- регистрация налогов НДС и акциз.
Ввод данных о результатах розничной продажи может быть автоматизирован различными способами:
- По результатам проведения инвентаризации
- По сведениям о количестве приготовленных блюд
- В результате обмена с контрольно-кассовыми машинами, функционирующими в режиме «Off-Line»
- Выгрузка из учетной системы списка товаров в ККМ;
- Регистрация продаж на ККМ;
- Загрузка отчета о продажах за смену из ККМ.
- Программно-аппаратный комплекс «Штрих-М: Кассир»;
- ККМ, оснащенные блоком энергонезависимой памяти «Штрих-М: MemoPlusLite»;
- Программно-аппаратный комплекс «АТОЛ: Рабочее место кассира»;
- «ООО Ока: ККМ Ладога-Ф»;
- «Версия-Т: Касби-04К (offline)».
- В результате обмена с фронт-офисными системами
- «1С-Рейтинг: Ресторан»;
- «Управление торговлей для Казахстана»;
- «1С: Ресторан»;
- «1С-Рарус: Ресторан + Бар + Кафе»;
- «R-Keeper v6, v7»

На складе розничной торговой точки (столовая, кафе, ресторан и т.д.) проводится инвентаризация остатков приготовленных блюд и товаров, результаты проведения инвентаризации оформляются в учетной системе документом «Инвентаризация ТМЗ на складе», на основании которого вводится и автоматически заполняется документ «Отчет о розничных продажах». При этом количество проданных товаров определяется как отрицательная разница между учетным количеством товара на складе и количеством, полученным по результатам инвентаризации.
Такой способ оформления розничных продаж характерен для торговых точек, где по тем или иным причинам нет возможности загрузки сведений о продажах из контрольно-кассовой машины (так называемые неавтоматизированные торговые точки).

Если был оформлен документ «Выпуск продукции», то на его основании может быть введен и заполнен документ «Отчет о розничных продажах» с расчетом сумм по ценам реализации.

Подключение ККМ в режиме «Off-Line» предполагает взаимодействие с ККМ как с автономной системой в режиме обмена данными. Механизм взаимодействия с ККМ, подключенной в режиме «Off-Line», предполагает следующий порядок работы:
Поддерживается подключение следующих моделей ККМ:
Возможна разработка программного обеспечения для подключения других моделей ККМ.
В состав программного продукта «1С-Рейтинг: Общепит для Казахстана» включены механизмы обмена данными со следующими конфигурациями:
Обмен данными позволяет автоматизировать оформление розничных продаж в бухгалтерском, налоговом и оперативном учете.
Возможна разработка программного обеспечения для обмена данными с другими фронт-офисными системами.
Кроме этого, предусмотрена возможность обмена данными с контрольно-кассовыми машинами, функционирующими в режиме Off-Line.
Поддержка торгового оборудования
В конфигурации «1С-Рейтинг: Общепит для Казахстана» реализована поддержка сканеров штрих-кодов и терминалов сбора данных.
Работа со сканером штрих-кодов и терминалом сбора данных возможна из документов:
- Инвентаризация ТМЗ на складе;
- Перемещение ТМЗ;
- Поступление ТМЗ и услуг;
- ПИТ: Выпуск продукции.
Кроме того, с помощью сканера штрих-кодов для элементов справочника «Номенклатура» можно добавить штрих-коды.
В том случае, если для продукции не назначен штрих-код, предусмотрена возможность создания внутреннего штрих-кода и возможность вывести его на печать на этикетках и ценниках. Печать этикеток и ценников доступна из документов «Поступление ТМЗ и услуг» и «Выпуск продукции».
Варианты поставки
|
|||||
|
|||||
|
|||||
|
Особенности лицензирования
Программный продукт «1С-Рейтинг: Общепит для Казахстана» включает клиентские лицензии с программной защитой платформы «1С:Предприятие 8» на 1 рабочее место, конфигурации «1С-Рейтинг: Общепит для Казахстана» на 1 рабочее место и обеспечивает работу 1 пользователя в один момент времени.
Для работы в многопользовательском режиме необходимо наличие у пользователей:
- клиентских лицензий «1С:Предприятие 8»;
- клиентских лицензий на конфигурацию «1С-Рейтинг: Общепит для Казахстана».
Количество приобретаемых лицензий на использование конфигурации «1С-Рейтинг: Общепит для Казахстана» и платформы "1С:Предприятие 8" определяется исходя из потребности в максимальном количестве одновременно работающих пользователей.
Для работы в клиент-серверном режиме необходимо наличие серверной лицензии «1С:Предприятие 8».
|
|||||
|
|||||
|
|||||
|
|||||
|
|||||
|
|
|||||
|
|||||
|
|||||
|
|||||
|
|||||
|
|||||
|
|||||
|
|||||
|
|||||
|
|||||
|
|||||
|
|||||
|
|||||
|
|||||
|
|||||
|
|
|||||
|
|||||
|
|||||
|
|||||
|
Сравнение версий программы
|
Функционал, версии
|
|
|
|---|---|---|
| Готовое решение для автоматизации предприятий и подразделений питания |
|
|
| Ведение списков рецептур |
|
|
| Выпуск блюд по рецептурам и списание ингредиентов |
|
|
| Перемещение ингредиентов |
|
|
| Использование аналогов номенклатуры |
|
|
| Разделка/разукомплектация |
|
|
| Списание специй |
|
|
| Учет показателей пищевой ценности продуктов |
|
|
| Розничная торговля и подключение торгового оборудования |
|
|
| Обмен с фронт-офисными системами |
|
|
| Бухгалтерский и налоговый учет |
|
|
| Подготовка бухгалтерской и налоговой отчетности |
|
|
| Расчеты по налогу на прибыль |
|
|
| Учет по нескольким организациям в отдельных информационных базах |
|
|
| Учет по нескольким организациям в единой информационной базе |
|
|
| Учет в обособленных подразделениях |
|
|
| Возможность изменения (конфигурирования) прикладного решения |
|
|
| Многопользовательский режим работы, в том числе поддержка клиент-серверного варианта работы |
|
|
| Работа территориально распределенных информационных баз |
|
|
| Поддержка COM-соединения и Automation-сервера |
|
|
Состав продукта
Продукт «1С-Рейтинг: Общепит для Казахстана» содержит:
- Дистрибутивы:
- платформы «1С:Предприятие 8»;
- типовой конфигурации «Бухгалтерия для Казахстана»;
- отраслевой конфигурации «Общепит для Казахстана»;
- Комплекты документации:
- по платформе «1С:Предприятие 8»;
- по типовой конфигурации «Бухгалтерия для Казахстана»;
- по отраслевой конфигурации «Общепит для Казахстана»;
- Регистрационную карточку и лицензионное соглашение на использование системы «1С:Предприятие 8», конфигурации «Бухгалтерия для Казахстана» и конфигурации «Общепит для Казахстана» на 1 рабочем месте;
- Почтовый конверт для отправки регистрационной анкеты;
- Конверты с пинкодами программной лицензии:
- платформы «1С:Предприятие 8» на 1 рабочее место;
- конфигурации «Общепит для Казахстана» на 1 рабочее место;
- Текущий выпуск информационно-технологического сопровождения (DVD 1С:ИТС Казахстан ПРОФ);
- Купон на льготное сопровождение 1С:ИТС Казахстан уровня ПРОФ на 3 месяца;
- Льготное сопровождение 1С:ИТС Казахстан уровня ПРОФ по одной из двух схем на выбор пользователя:
- льготное сопровождение в течение 3 месяцев без дополнительной оплаты;
- льготное сопровождение в течение 12 месяцев по схеме 8+4 (сопровождение 1С:ИТС Казахстан уровня ПРОФ на 12 месяцев по цене 8 месяцев).
Данный программный продукт может быть заказан с аппаратным ключом защиты (USB).
